Saat ini di Indonesia banyak
bermunculan perusahan dengan konsep penjualan langsung atau lebih dikenal
dengan nama MLM (Multilevel Marketing). Sebenarnya apa itu MLM? MLM adalah
strategi pemasaran di mana tenaga penjual (sales) tidak hanya mendapatkan kompensasi
atas penjualan yang mereka hasilkan, tetapi juga atas hasil penjualan sales
lain yang mereka rekrut (wikipedia).
Dan kabar baiknya sekarang adalah
zamanya sistem MLM. Mengapa demikian? Sadar tidak sadar banyak dari kita yang telah
menjalankan sistem ini.
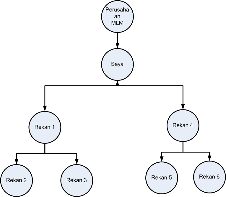
Buktinya apa? Untuk menjelaskannya kita bisa lihat gambar
di bawah ini.
![]() |
| Skema Sistem Konvesional |
![]() |
| Skema Sistem MLM |
Gambar di atas adalah skema
penjualan konvensional dan skema MLM. Kita membeli barang dari produsen dengan harga grosir
kemudian Kita jual kepada pembeli Kita dengan harga pasar. Kemudian saat produk Kita banyak terjual di pasaran maka Kita juga ingin mengembangkannya dengan
tujuan mendapat keuntungan yang lebih banyak. Di lain pihakpun akan ada
orang-orang juga akan melihat hal yang sama. Dan di titik inilah sistem MLM
terbentuk, Kita menjadi "Upline" dan orang lain menjadi
"Downline". Kita bisa mendapatkan barang dengan harga yang lebih
murah karena Kita membeli dalam jumlah yang lebih banyak dan Kita dapat menjual dengan harga yang lebih murah dari pasar supaya downline Kita bisa menjual
barang kepada pembeli lainnya.
Sementara Kita terus menjual
barang Kita langsung kepada pembeli dan mendapat untung, Kita juga mendapatkan
keuntungan dari para downline Kita. Dan skema ini bisa Kita lihat dalam Online
Shop.
Dunia terus berkembang, banyak
orang yang membutuhkan pekerjaan dan banyak produk bagus yang perlu dipasarkan.
Gunakan sistem MLM dan bergabung dengan perusahaan MLM. Ke depan biaya
distribusi dan promosi akan sangat mahal akan tetapi kepercayaan akan lebih
mahal dari pada itu dan kepercayaan hanya dapat ditemukan dalam tiap orang.
Banyak orang mengatakan MLM itu
sulit dilakukan, mungkin ada benarnya tapi untuk saat ini dengan kemajuan
teknologi dan nilai kepercayaan yang terus mahal maka akan memudahkan Kita untuk menjalankan sistem MLM menjadi
sistem bisnis Kita. Manfaatkan sosial media dan alat komunikasi yang Kita miliki untuk membantu kita menjalankan sistem MLM yang kita punyai.


No comments:
Post a Comment